课程编号:Y2510170
民间秘法书籍《婚姻催合大法》《姻缘催合大法秘典》37双页72页
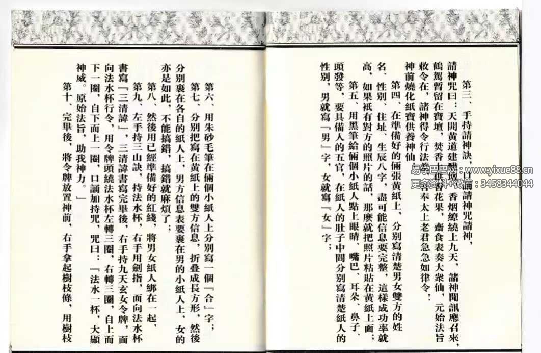
《婚姻催合大法》《姻缘催合大法秘典》民间秘法和合相关书籍。《婚姻催合大法》道家秘传催旺正缘桃花的秘术!专为夫妻不合,夫妻吵闹,姻缘不定,情投意合却不能相守的男女书和二为一,让夫妻家庭和睦,白头谐老,家业兴旺。

服务说明:
(1)、资源来源于网络公开发表文件,所有资料仅供学习交流;
(2)、学分仅用来维持网站运营,性质为用户友情赞助,并非购买文件费用(1元=1学分);
(3)、如遇百度网盘分享链接失效,可以联系客服,管理员都会及时处理的或将资料发送至您提交的邮箱;
(4)、在您未收到文件之前,可以联系客服QQ:529202210 进行退款;
(5)、不用担心不给资料,如果没有及时回复也不用担心,看到了都会发给您的!放心!
国学资源学习网 » 《婚姻催合大法》72页
常见问题FAQ
- 免费下载或者VIP会员专享资源能否直接商用?
- 本站所有资源版权均属于原作者所有,这里所提供资源均只能用于参考学习用,请勿直接商用。若由于商用引起版权纠纷,一切责任均由使用者承担。
- 付款之后,如何获得资源?
- 下载链接失效了怎么办?